Up 楕円の作図 作成: 2013-07-11
更新: 2013-07-11


    楕円
    は,つぎの図の点 (x, y) の軌跡として,作図ができる:
    実際,つぎの2つの三角形の相似を見る:
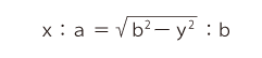
    このとき,
    よって,


    特に,a=bのとき,半径aの円が作図される(註)
    もっとも,半径aの円の作図法とされるのは,「Oからの距離がaの点の軌跡」である。
    しかし,円を「楕円の特殊」と捉えようとするとき,「楕円の作図」は直接的で有効な主題である。