Up 球の表面積 作成: 2013-01-25
更新: 2013-01-25



    これの面積を,つぎの区分求積で考える:
    このとき,図のスライスの面積は,ヨコが 2πrcosx でタテが rΔx の長方形の面積で近似される。
    この長方形の面積は,
      2πr2 cosx Δx
    である。

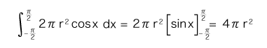
    そこで,球の表面積は,つぎの積分で求められる:

    こうしてつぎの結論になる:
      「半径rの球の表面積は,4πr2 で求められる。」


    なお,スライスの面積の近似計算
      (2πr2 cosx)×( Δx)
      (2πr)×(rΔx cosx)
    と見直すと,これは,球を囲む円筒上のつぎの面積を計算していることになる:

    よって,球の表面積は,<底が半径rの円で高さが2rの円柱>の側面の面積と等しい。
    そしてこの側面の面積を計算すると
      (2πr)×(2r)= 4πr2
    となり,上の区分求積で求めた結果と確かに一致する。