Up 錐の体積 作成: 2013-01-24
更新: 2013-01-24


    錐の体積計算は,つぎの2つの適用である:
    1. 区分求積
    2. 柱の体積の計算公式


    いま,底面積S,高さhの錐を考える:

    この錐の体積を,つぎの区分求積で考える:
    このとき,図のスライスの体積は,底面積が S で高さが Δx の柱の体積で近似される。

    スライスの底面で錐をカットしたときの上部分は,もとの錐と相似な錐であり,相似比が x/h である。
    よって,スライスの底面積 S
      S × (x/h)2
    となり,スライスの近似になる柱の体積が
      S × (x/h)2 × Δx
    となる。

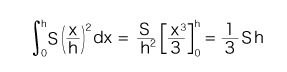
    そこで,錐の体積は,つぎの積分で求められる:

    こうしてつぎの結論になる:
      「底面積S,高さhの錐の体積は,S × h ÷ 3 で求められる。」