Up
錐の体積
作成: 2013-01-24
更新: 2013-01-24
錐の体積計算は,つぎの2つの適用である:
区分求積
柱の体積の計算公式
いま,底面積S,高さhの錐を考える:
この錐の体積を,つぎの区分求積で考える:
このとき,図のスライスの体積は,底面積が S
x
で高さが Δx の柱の体積で近似される。
スライスの底面で錐をカットしたときの上部分は,もとの錐と相似な錐であり,相似比が x/h である。
よって,スライスの底面積 S
x
が
S × (x/h)
2
となり,スライスの近似になる柱の体積が
S × (x/h)
2
× Δx
となる。
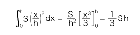
そこで,錐の体積は,つぎの積分で求められる:
こうしてつぎの結論になる:
「底面積S,高さhの錐の体積は,S × h ÷ 3 で求められる。」