| Up | 共変テンソル \( {\nabla}_j \) | 作成: 2018-01-09 更新: 2018-03-09 |
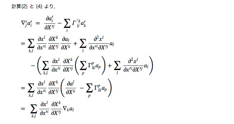
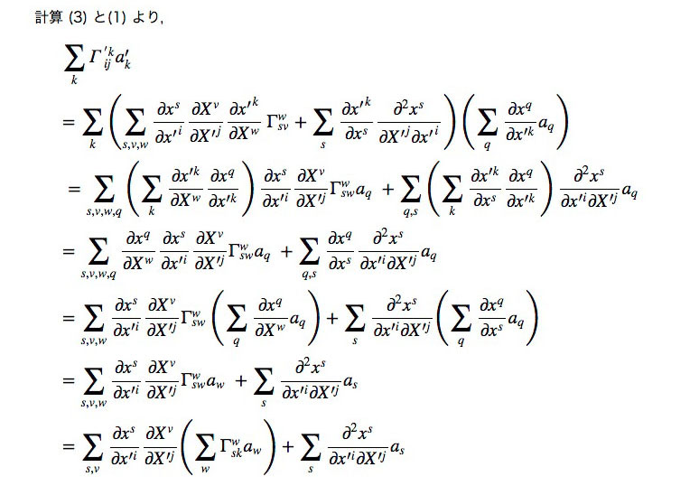
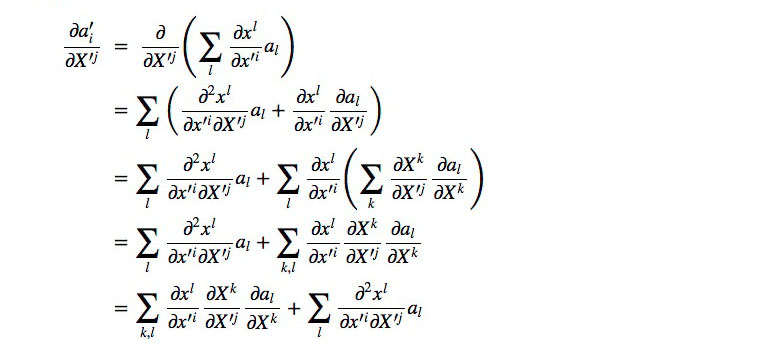
実際,つぎが成り立つ: \[ \begin{align*} \nabla'_j a'_i \ =\ \frac{\partial a'_i}{\partial X'^j} - \sum_k {\it \Gamma}^{\,'k}_{\ ij} a'_k \\ =\ \sum_{k,l} \frac{\partial x^l}{\partial x'^i} \frac{\partial X^k}{\partial X'^j} \nabla_k a_l \end{align*} \] 以下,これの計算過程を示す。 「共変座標」)
|