Up エネルギーの4元化──「E = mc2 作成: 2017-12-07
更新: 2017-12-08


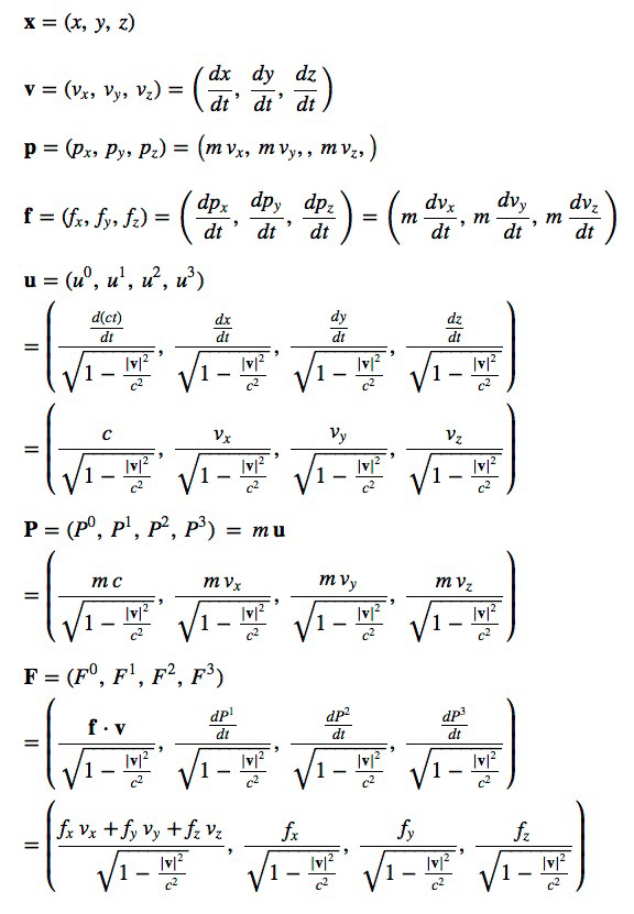
    つぎの物体がある:
      質量: m
      位置: \( ( ct, {\bf x} ) \)
      速度: \( \bf u \)
      これにかかっている力:\( \bf F \)
    そしてこれが,慣性系Sでつぎのようになるとする:


    このとき, 「仕事」のイメージは \( {\bf f} \cdot d{\bf x} \) であり,したがって \[ {\bf f} \cdot \frac{d{\bf x}}{dt} = {\bf f} \cdot {\bf v} \] が「仕事率」ということになる。
    そして仕事率 \( {\bf f} \cdot {\bf v} \) に対しては,つぎが仕事の式になる: \[ \int {\bf f} \cdot {\bf v}\, dt \]
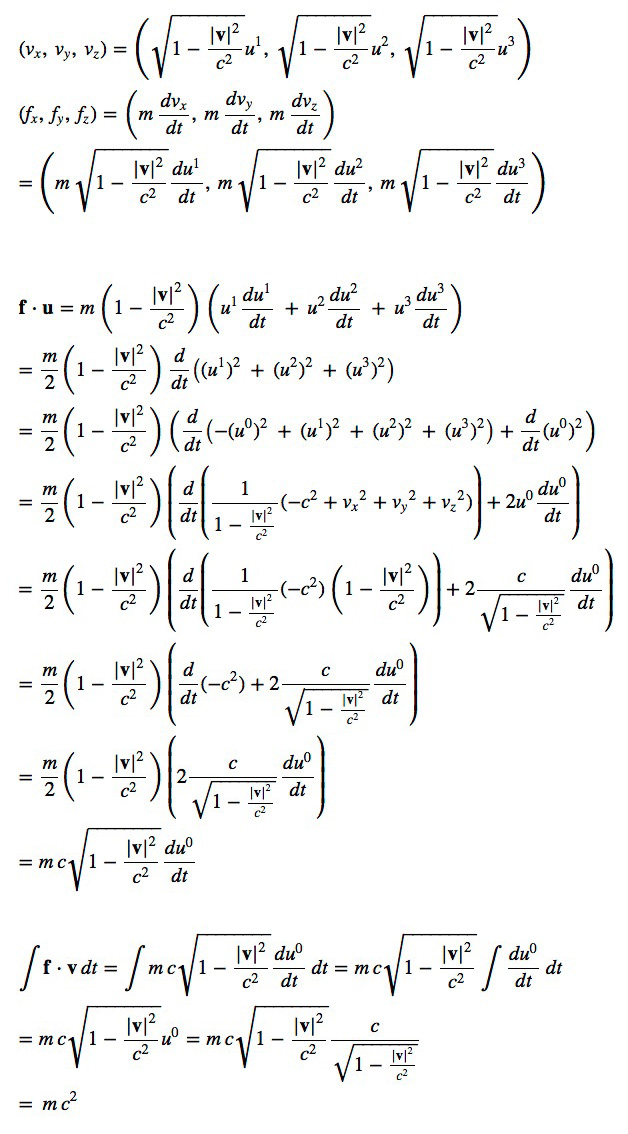
    これを, 「仕事の4元化」の目論見を以て,計算してみる:

    結局,「仕事 \( \int {\bf f} \cdot {\bf v}\, dt \) 」が,慣性系に依らない値で得られた。
    そこでこれを,エネルギーの4元化と定める:
      \[ E \,=\, m\, c^2 \]


  • 参考サイト